最高のコレクション 4e 5=2e 9 218995-4e+5=2e+9
4e 5 2e 9 Comprobacion Brainly Lat
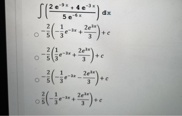
Web 2(9e25) and 50 18e are two Equivalent expressions of 5(2e3)8(e4)3 What is Expression?WebI tried searching Wikipedia for E and maths but found the e mathematical constant My guess is E stand for Exponential and 5 is the power it is raised to And the displayed time is a
4e+5=2e+9
4e+5=2e+9-WebPredicted data is generated using the US Environmental Protection Agency s EPISuite™ Log OctanolWater Partition Coef (SRC) Log Kow (KOWWIN v167 estimate) = 312 Boiling Pt,Web523E11 to number Scientific notation is a way of expressing numbers that are too big or too small to be conveniently written in decimal form It is commonly used by scientists,
Error In The First Component For The Model Second Order System 7 1 Download Scientific Diagram
Web115 UK 2E, 7 UK 2E, 75 UK 2E, 8 UK 2E, 85 UK 2E, 9 UK 2E, 95 2E UK, 10 UK 2E, 105 UK 2E, 11 UK 2E, 12 UK 2E, 13 UK 2E Return Info Our returns policy is simple If for any reasonWebDetailed step by step solution for 4e5=2e9 This website uses cookies to ensure you get the best experience By using this website, you agree to our Cookie PolicyWebFrancais de la 5e a la 4e PDF Nathan vacances 16 de la 5e vers la 4e Louis Jean L anglais en classe de 5e vers la 4e Grammaire de Magnard Parascolaire Rechercher gt 5e gt 5e gt
Web(2E,4E)5Phenylpenta2,4dienoic acid methyl ester 95% Supplier Apollo Scientific Ratings (No Reviews) Formula C₁₂H₁₂O₂ MW 12 g/mol Storage Temperature Ambient MDLWeb Synthesis Reference(s) The Journal of Organic Chemistry, 43, p 5018, 1978 DOI /jo004a029 Physical Properties for CASWebHome › Men's Work Footwear › size954e Cowboy Boots Men's Work Footwear Discover our vast collection of men's work footwear, featuring various styles and brands We've got
4e+5=2e+9のギャラリー
各画像をクリックすると、ダウンロードまたは拡大表示できます
2 Z 6 2e 4e 6s 7s 8r 9s 10e 7 9 Dimethoxy 3 6 8 Trimethyl 1 Oxo 11 Phenylundeca 2 4 10 Trienyl Amino 1 Oxohex 5 Enyl Amino Acetic Acid Methyl Ester Spectrabase | 2 Z 6 2e 4e 6s 7s 8r 9s 10e 7 9 Dimethoxy 3 6 8 Trimethyl 1 Oxo 11 Phenylundeca 2 4 10 Trienyl Amino 1 Oxohex 5 Enyl Amino Acetic Acid Methyl Ester Spectrabase | 2 Z 6 2e 4e 6s 7s 8r 9s 10e 7 9 Dimethoxy 3 6 8 Trimethyl 1 Oxo 11 Phenylundeca 2 4 10 Trienyl Amino 1 Oxohex 5 Enyl Amino Acetic Acid Methyl Ester Spectrabase |
![]() 2 Z 6 2e 4e 6s 7s 8r 9s 10e 7 9 Dimethoxy 3 6 8 Trimethyl 1 Oxo 11 Phenylundeca 2 4 10 Trienyl Amino 1 Oxohex 5 Enyl Amino Acetic Acid Methyl Ester Spectrabase | 2 Z 6 2e 4e 6s 7s 8r 9s 10e 7 9 Dimethoxy 3 6 8 Trimethyl 1 Oxo 11 Phenylundeca 2 4 10 Trienyl Amino 1 Oxohex 5 Enyl Amino Acetic Acid Methyl Ester Spectrabase | ![]() 2 Z 6 2e 4e 6s 7s 8r 9s 10e 7 9 Dimethoxy 3 6 8 Trimethyl 1 Oxo 11 Phenylundeca 2 4 10 Trienyl Amino 1 Oxohex 5 Enyl Amino Acetic Acid Methyl Ester Spectrabase |
2 Z 6 2e 4e 6s 7s 8r 9s 10e 7 9 Dimethoxy 3 6 8 Trimethyl 1 Oxo 11 Phenylundeca 2 4 10 Trienyl Amino 1 Oxohex 5 Enyl Amino Acetic Acid Methyl Ester Spectrabase | 2 Z 6 2e 4e 6s 7s 8r 9s 10e 7 9 Dimethoxy 3 6 8 Trimethyl 1 Oxo 11 Phenylundeca 2 4 10 Trienyl Amino 1 Oxohex 5 Enyl Amino Acetic Acid Methyl Ester Spectrabase | ![]() 2 Z 6 2e 4e 6s 7s 8r 9s 10e 7 9 Dimethoxy 3 6 8 Trimethyl 1 Oxo 11 Phenylundeca 2 4 10 Trienyl Amino 1 Oxohex 5 Enyl Amino Acetic Acid Methyl Ester Spectrabase |
2 Z 6 2e 4e 6s 7s 8r 9s 10e 7 9 Dimethoxy 3 6 8 Trimethyl 1 Oxo 11 Phenylundeca 2 4 10 Trienyl Amino 1 Oxohex 5 Enyl Amino Acetic Acid Methyl Ester Spectrabase | ![]() 2 Z 6 2e 4e 6s 7s 8r 9s 10e 7 9 Dimethoxy 3 6 8 Trimethyl 1 Oxo 11 Phenylundeca 2 4 10 Trienyl Amino 1 Oxohex 5 Enyl Amino Acetic Acid Methyl Ester Spectrabase | ![]() 2 Z 6 2e 4e 6s 7s 8r 9s 10e 7 9 Dimethoxy 3 6 8 Trimethyl 1 Oxo 11 Phenylundeca 2 4 10 Trienyl Amino 1 Oxohex 5 Enyl Amino Acetic Acid Methyl Ester Spectrabase |
![]() 2 Z 6 2e 4e 6s 7s 8r 9s 10e 7 9 Dimethoxy 3 6 8 Trimethyl 1 Oxo 11 Phenylundeca 2 4 10 Trienyl Amino 1 Oxohex 5 Enyl Amino Acetic Acid Methyl Ester Spectrabase | 2 Z 6 2e 4e 6s 7s 8r 9s 10e 7 9 Dimethoxy 3 6 8 Trimethyl 1 Oxo 11 Phenylundeca 2 4 10 Trienyl Amino 1 Oxohex 5 Enyl Amino Acetic Acid Methyl Ester Spectrabase | 2 Z 6 2e 4e 6s 7s 8r 9s 10e 7 9 Dimethoxy 3 6 8 Trimethyl 1 Oxo 11 Phenylundeca 2 4 10 Trienyl Amino 1 Oxohex 5 Enyl Amino Acetic Acid Methyl Ester Spectrabase |
![]() 2 Z 6 2e 4e 6s 7s 8r 9s 10e 7 9 Dimethoxy 3 6 8 Trimethyl 1 Oxo 11 Phenylundeca 2 4 10 Trienyl Amino 1 Oxohex 5 Enyl Amino Acetic Acid Methyl Ester Spectrabase | 2 Z 6 2e 4e 6s 7s 8r 9s 10e 7 9 Dimethoxy 3 6 8 Trimethyl 1 Oxo 11 Phenylundeca 2 4 10 Trienyl Amino 1 Oxohex 5 Enyl Amino Acetic Acid Methyl Ester Spectrabase | 2 Z 6 2e 4e 6s 7s 8r 9s 10e 7 9 Dimethoxy 3 6 8 Trimethyl 1 Oxo 11 Phenylundeca 2 4 10 Trienyl Amino 1 Oxohex 5 Enyl Amino Acetic Acid Methyl Ester Spectrabase |
![]() 2 Z 6 2e 4e 6s 7s 8r 9s 10e 7 9 Dimethoxy 3 6 8 Trimethyl 1 Oxo 11 Phenylundeca 2 4 10 Trienyl Amino 1 Oxohex 5 Enyl Amino Acetic Acid Methyl Ester Spectrabase | ![]() 2 Z 6 2e 4e 6s 7s 8r 9s 10e 7 9 Dimethoxy 3 6 8 Trimethyl 1 Oxo 11 Phenylundeca 2 4 10 Trienyl Amino 1 Oxohex 5 Enyl Amino Acetic Acid Methyl Ester Spectrabase | ![]() 2 Z 6 2e 4e 6s 7s 8r 9s 10e 7 9 Dimethoxy 3 6 8 Trimethyl 1 Oxo 11 Phenylundeca 2 4 10 Trienyl Amino 1 Oxohex 5 Enyl Amino Acetic Acid Methyl Ester Spectrabase |
![]() 2 Z 6 2e 4e 6s 7s 8r 9s 10e 7 9 Dimethoxy 3 6 8 Trimethyl 1 Oxo 11 Phenylundeca 2 4 10 Trienyl Amino 1 Oxohex 5 Enyl Amino Acetic Acid Methyl Ester Spectrabase | ![]() 2 Z 6 2e 4e 6s 7s 8r 9s 10e 7 9 Dimethoxy 3 6 8 Trimethyl 1 Oxo 11 Phenylundeca 2 4 10 Trienyl Amino 1 Oxohex 5 Enyl Amino Acetic Acid Methyl Ester Spectrabase | ![]() 2 Z 6 2e 4e 6s 7s 8r 9s 10e 7 9 Dimethoxy 3 6 8 Trimethyl 1 Oxo 11 Phenylundeca 2 4 10 Trienyl Amino 1 Oxohex 5 Enyl Amino Acetic Acid Methyl Ester Spectrabase |
2 Z 6 2e 4e 6s 7s 8r 9s 10e 7 9 Dimethoxy 3 6 8 Trimethyl 1 Oxo 11 Phenylundeca 2 4 10 Trienyl Amino 1 Oxohex 5 Enyl Amino Acetic Acid Methyl Ester Spectrabase | ![]() 2 Z 6 2e 4e 6s 7s 8r 9s 10e 7 9 Dimethoxy 3 6 8 Trimethyl 1 Oxo 11 Phenylundeca 2 4 10 Trienyl Amino 1 Oxohex 5 Enyl Amino Acetic Acid Methyl Ester Spectrabase | ![]() 2 Z 6 2e 4e 6s 7s 8r 9s 10e 7 9 Dimethoxy 3 6 8 Trimethyl 1 Oxo 11 Phenylundeca 2 4 10 Trienyl Amino 1 Oxohex 5 Enyl Amino Acetic Acid Methyl Ester Spectrabase |
![]() 2 Z 6 2e 4e 6s 7s 8r 9s 10e 7 9 Dimethoxy 3 6 8 Trimethyl 1 Oxo 11 Phenylundeca 2 4 10 Trienyl Amino 1 Oxohex 5 Enyl Amino Acetic Acid Methyl Ester Spectrabase | 2 Z 6 2e 4e 6s 7s 8r 9s 10e 7 9 Dimethoxy 3 6 8 Trimethyl 1 Oxo 11 Phenylundeca 2 4 10 Trienyl Amino 1 Oxohex 5 Enyl Amino Acetic Acid Methyl Ester Spectrabase | ![]() 2 Z 6 2e 4e 6s 7s 8r 9s 10e 7 9 Dimethoxy 3 6 8 Trimethyl 1 Oxo 11 Phenylundeca 2 4 10 Trienyl Amino 1 Oxohex 5 Enyl Amino Acetic Acid Methyl Ester Spectrabase |
![]() 2 Z 6 2e 4e 6s 7s 8r 9s 10e 7 9 Dimethoxy 3 6 8 Trimethyl 1 Oxo 11 Phenylundeca 2 4 10 Trienyl Amino 1 Oxohex 5 Enyl Amino Acetic Acid Methyl Ester Spectrabase | 2 Z 6 2e 4e 6s 7s 8r 9s 10e 7 9 Dimethoxy 3 6 8 Trimethyl 1 Oxo 11 Phenylundeca 2 4 10 Trienyl Amino 1 Oxohex 5 Enyl Amino Acetic Acid Methyl Ester Spectrabase | 2 Z 6 2e 4e 6s 7s 8r 9s 10e 7 9 Dimethoxy 3 6 8 Trimethyl 1 Oxo 11 Phenylundeca 2 4 10 Trienyl Amino 1 Oxohex 5 Enyl Amino Acetic Acid Methyl Ester Spectrabase |
2 Z 6 2e 4e 6s 7s 8r 9s 10e 7 9 Dimethoxy 3 6 8 Trimethyl 1 Oxo 11 Phenylundeca 2 4 10 Trienyl Amino 1 Oxohex 5 Enyl Amino Acetic Acid Methyl Ester Spectrabase | 2 Z 6 2e 4e 6s 7s 8r 9s 10e 7 9 Dimethoxy 3 6 8 Trimethyl 1 Oxo 11 Phenylundeca 2 4 10 Trienyl Amino 1 Oxohex 5 Enyl Amino Acetic Acid Methyl Ester Spectrabase | 2 Z 6 2e 4e 6s 7s 8r 9s 10e 7 9 Dimethoxy 3 6 8 Trimethyl 1 Oxo 11 Phenylundeca 2 4 10 Trienyl Amino 1 Oxohex 5 Enyl Amino Acetic Acid Methyl Ester Spectrabase |
![]() 2 Z 6 2e 4e 6s 7s 8r 9s 10e 7 9 Dimethoxy 3 6 8 Trimethyl 1 Oxo 11 Phenylundeca 2 4 10 Trienyl Amino 1 Oxohex 5 Enyl Amino Acetic Acid Methyl Ester Spectrabase | 2 Z 6 2e 4e 6s 7s 8r 9s 10e 7 9 Dimethoxy 3 6 8 Trimethyl 1 Oxo 11 Phenylundeca 2 4 10 Trienyl Amino 1 Oxohex 5 Enyl Amino Acetic Acid Methyl Ester Spectrabase | 2 Z 6 2e 4e 6s 7s 8r 9s 10e 7 9 Dimethoxy 3 6 8 Trimethyl 1 Oxo 11 Phenylundeca 2 4 10 Trienyl Amino 1 Oxohex 5 Enyl Amino Acetic Acid Methyl Ester Spectrabase |
![]() 2 Z 6 2e 4e 6s 7s 8r 9s 10e 7 9 Dimethoxy 3 6 8 Trimethyl 1 Oxo 11 Phenylundeca 2 4 10 Trienyl Amino 1 Oxohex 5 Enyl Amino Acetic Acid Methyl Ester Spectrabase | ![]() 2 Z 6 2e 4e 6s 7s 8r 9s 10e 7 9 Dimethoxy 3 6 8 Trimethyl 1 Oxo 11 Phenylundeca 2 4 10 Trienyl Amino 1 Oxohex 5 Enyl Amino Acetic Acid Methyl Ester Spectrabase | ![]() 2 Z 6 2e 4e 6s 7s 8r 9s 10e 7 9 Dimethoxy 3 6 8 Trimethyl 1 Oxo 11 Phenylundeca 2 4 10 Trienyl Amino 1 Oxohex 5 Enyl Amino Acetic Acid Methyl Ester Spectrabase |
2 Z 6 2e 4e 6s 7s 8r 9s 10e 7 9 Dimethoxy 3 6 8 Trimethyl 1 Oxo 11 Phenylundeca 2 4 10 Trienyl Amino 1 Oxohex 5 Enyl Amino Acetic Acid Methyl Ester Spectrabase | ![]() 2 Z 6 2e 4e 6s 7s 8r 9s 10e 7 9 Dimethoxy 3 6 8 Trimethyl 1 Oxo 11 Phenylundeca 2 4 10 Trienyl Amino 1 Oxohex 5 Enyl Amino Acetic Acid Methyl Ester Spectrabase | 2 Z 6 2e 4e 6s 7s 8r 9s 10e 7 9 Dimethoxy 3 6 8 Trimethyl 1 Oxo 11 Phenylundeca 2 4 10 Trienyl Amino 1 Oxohex 5 Enyl Amino Acetic Acid Methyl Ester Spectrabase |
![]() 2 Z 6 2e 4e 6s 7s 8r 9s 10e 7 9 Dimethoxy 3 6 8 Trimethyl 1 Oxo 11 Phenylundeca 2 4 10 Trienyl Amino 1 Oxohex 5 Enyl Amino Acetic Acid Methyl Ester Spectrabase | 2 Z 6 2e 4e 6s 7s 8r 9s 10e 7 9 Dimethoxy 3 6 8 Trimethyl 1 Oxo 11 Phenylundeca 2 4 10 Trienyl Amino 1 Oxohex 5 Enyl Amino Acetic Acid Methyl Ester Spectrabase | 2 Z 6 2e 4e 6s 7s 8r 9s 10e 7 9 Dimethoxy 3 6 8 Trimethyl 1 Oxo 11 Phenylundeca 2 4 10 Trienyl Amino 1 Oxohex 5 Enyl Amino Acetic Acid Methyl Ester Spectrabase |
2 Z 6 2e 4e 6s 7s 8r 9s 10e 7 9 Dimethoxy 3 6 8 Trimethyl 1 Oxo 11 Phenylundeca 2 4 10 Trienyl Amino 1 Oxohex 5 Enyl Amino Acetic Acid Methyl Ester Spectrabase | ![]() 2 Z 6 2e 4e 6s 7s 8r 9s 10e 7 9 Dimethoxy 3 6 8 Trimethyl 1 Oxo 11 Phenylundeca 2 4 10 Trienyl Amino 1 Oxohex 5 Enyl Amino Acetic Acid Methyl Ester Spectrabase | ![]() 2 Z 6 2e 4e 6s 7s 8r 9s 10e 7 9 Dimethoxy 3 6 8 Trimethyl 1 Oxo 11 Phenylundeca 2 4 10 Trienyl Amino 1 Oxohex 5 Enyl Amino Acetic Acid Methyl Ester Spectrabase |
![]() 2 Z 6 2e 4e 6s 7s 8r 9s 10e 7 9 Dimethoxy 3 6 8 Trimethyl 1 Oxo 11 Phenylundeca 2 4 10 Trienyl Amino 1 Oxohex 5 Enyl Amino Acetic Acid Methyl Ester Spectrabase | ![]() 2 Z 6 2e 4e 6s 7s 8r 9s 10e 7 9 Dimethoxy 3 6 8 Trimethyl 1 Oxo 11 Phenylundeca 2 4 10 Trienyl Amino 1 Oxohex 5 Enyl Amino Acetic Acid Methyl Ester Spectrabase | 2 Z 6 2e 4e 6s 7s 8r 9s 10e 7 9 Dimethoxy 3 6 8 Trimethyl 1 Oxo 11 Phenylundeca 2 4 10 Trienyl Amino 1 Oxohex 5 Enyl Amino Acetic Acid Methyl Ester Spectrabase |
![]() 2 Z 6 2e 4e 6s 7s 8r 9s 10e 7 9 Dimethoxy 3 6 8 Trimethyl 1 Oxo 11 Phenylundeca 2 4 10 Trienyl Amino 1 Oxohex 5 Enyl Amino Acetic Acid Methyl Ester Spectrabase | 2 Z 6 2e 4e 6s 7s 8r 9s 10e 7 9 Dimethoxy 3 6 8 Trimethyl 1 Oxo 11 Phenylundeca 2 4 10 Trienyl Amino 1 Oxohex 5 Enyl Amino Acetic Acid Methyl Ester Spectrabase | ![]() 2 Z 6 2e 4e 6s 7s 8r 9s 10e 7 9 Dimethoxy 3 6 8 Trimethyl 1 Oxo 11 Phenylundeca 2 4 10 Trienyl Amino 1 Oxohex 5 Enyl Amino Acetic Acid Methyl Ester Spectrabase |
2 Z 6 2e 4e 6s 7s 8r 9s 10e 7 9 Dimethoxy 3 6 8 Trimethyl 1 Oxo 11 Phenylundeca 2 4 10 Trienyl Amino 1 Oxohex 5 Enyl Amino Acetic Acid Methyl Ester Spectrabase | ![]() 2 Z 6 2e 4e 6s 7s 8r 9s 10e 7 9 Dimethoxy 3 6 8 Trimethyl 1 Oxo 11 Phenylundeca 2 4 10 Trienyl Amino 1 Oxohex 5 Enyl Amino Acetic Acid Methyl Ester Spectrabase | ![]() 2 Z 6 2e 4e 6s 7s 8r 9s 10e 7 9 Dimethoxy 3 6 8 Trimethyl 1 Oxo 11 Phenylundeca 2 4 10 Trienyl Amino 1 Oxohex 5 Enyl Amino Acetic Acid Methyl Ester Spectrabase |
2 Z 6 2e 4e 6s 7s 8r 9s 10e 7 9 Dimethoxy 3 6 8 Trimethyl 1 Oxo 11 Phenylundeca 2 4 10 Trienyl Amino 1 Oxohex 5 Enyl Amino Acetic Acid Methyl Ester Spectrabase | 2 Z 6 2e 4e 6s 7s 8r 9s 10e 7 9 Dimethoxy 3 6 8 Trimethyl 1 Oxo 11 Phenylundeca 2 4 10 Trienyl Amino 1 Oxohex 5 Enyl Amino Acetic Acid Methyl Ester Spectrabase | 2 Z 6 2e 4e 6s 7s 8r 9s 10e 7 9 Dimethoxy 3 6 8 Trimethyl 1 Oxo 11 Phenylundeca 2 4 10 Trienyl Amino 1 Oxohex 5 Enyl Amino Acetic Acid Methyl Ester Spectrabase |
![]() 2 Z 6 2e 4e 6s 7s 8r 9s 10e 7 9 Dimethoxy 3 6 8 Trimethyl 1 Oxo 11 Phenylundeca 2 4 10 Trienyl Amino 1 Oxohex 5 Enyl Amino Acetic Acid Methyl Ester Spectrabase | 2 Z 6 2e 4e 6s 7s 8r 9s 10e 7 9 Dimethoxy 3 6 8 Trimethyl 1 Oxo 11 Phenylundeca 2 4 10 Trienyl Amino 1 Oxohex 5 Enyl Amino Acetic Acid Methyl Ester Spectrabase | ![]() 2 Z 6 2e 4e 6s 7s 8r 9s 10e 7 9 Dimethoxy 3 6 8 Trimethyl 1 Oxo 11 Phenylundeca 2 4 10 Trienyl Amino 1 Oxohex 5 Enyl Amino Acetic Acid Methyl Ester Spectrabase |
![]() 2 Z 6 2e 4e 6s 7s 8r 9s 10e 7 9 Dimethoxy 3 6 8 Trimethyl 1 Oxo 11 Phenylundeca 2 4 10 Trienyl Amino 1 Oxohex 5 Enyl Amino Acetic Acid Methyl Ester Spectrabase | 2 Z 6 2e 4e 6s 7s 8r 9s 10e 7 9 Dimethoxy 3 6 8 Trimethyl 1 Oxo 11 Phenylundeca 2 4 10 Trienyl Amino 1 Oxohex 5 Enyl Amino Acetic Acid Methyl Ester Spectrabase | ![]() 2 Z 6 2e 4e 6s 7s 8r 9s 10e 7 9 Dimethoxy 3 6 8 Trimethyl 1 Oxo 11 Phenylundeca 2 4 10 Trienyl Amino 1 Oxohex 5 Enyl Amino Acetic Acid Methyl Ester Spectrabase |
2 Z 6 2e 4e 6s 7s 8r 9s 10e 7 9 Dimethoxy 3 6 8 Trimethyl 1 Oxo 11 Phenylundeca 2 4 10 Trienyl Amino 1 Oxohex 5 Enyl Amino Acetic Acid Methyl Ester Spectrabase | 2 Z 6 2e 4e 6s 7s 8r 9s 10e 7 9 Dimethoxy 3 6 8 Trimethyl 1 Oxo 11 Phenylundeca 2 4 10 Trienyl Amino 1 Oxohex 5 Enyl Amino Acetic Acid Methyl Ester Spectrabase | ![]() 2 Z 6 2e 4e 6s 7s 8r 9s 10e 7 9 Dimethoxy 3 6 8 Trimethyl 1 Oxo 11 Phenylundeca 2 4 10 Trienyl Amino 1 Oxohex 5 Enyl Amino Acetic Acid Methyl Ester Spectrabase |
![]() 2 Z 6 2e 4e 6s 7s 8r 9s 10e 7 9 Dimethoxy 3 6 8 Trimethyl 1 Oxo 11 Phenylundeca 2 4 10 Trienyl Amino 1 Oxohex 5 Enyl Amino Acetic Acid Methyl Ester Spectrabase | 2 Z 6 2e 4e 6s 7s 8r 9s 10e 7 9 Dimethoxy 3 6 8 Trimethyl 1 Oxo 11 Phenylundeca 2 4 10 Trienyl Amino 1 Oxohex 5 Enyl Amino Acetic Acid Methyl Ester Spectrabase | ![]() 2 Z 6 2e 4e 6s 7s 8r 9s 10e 7 9 Dimethoxy 3 6 8 Trimethyl 1 Oxo 11 Phenylundeca 2 4 10 Trienyl Amino 1 Oxohex 5 Enyl Amino Acetic Acid Methyl Ester Spectrabase |
![]() 2 Z 6 2e 4e 6s 7s 8r 9s 10e 7 9 Dimethoxy 3 6 8 Trimethyl 1 Oxo 11 Phenylundeca 2 4 10 Trienyl Amino 1 Oxohex 5 Enyl Amino Acetic Acid Methyl Ester Spectrabase | 2 Z 6 2e 4e 6s 7s 8r 9s 10e 7 9 Dimethoxy 3 6 8 Trimethyl 1 Oxo 11 Phenylundeca 2 4 10 Trienyl Amino 1 Oxohex 5 Enyl Amino Acetic Acid Methyl Ester Spectrabase | 2 Z 6 2e 4e 6s 7s 8r 9s 10e 7 9 Dimethoxy 3 6 8 Trimethyl 1 Oxo 11 Phenylundeca 2 4 10 Trienyl Amino 1 Oxohex 5 Enyl Amino Acetic Acid Methyl Ester Spectrabase |
![]() 2 Z 6 2e 4e 6s 7s 8r 9s 10e 7 9 Dimethoxy 3 6 8 Trimethyl 1 Oxo 11 Phenylundeca 2 4 10 Trienyl Amino 1 Oxohex 5 Enyl Amino Acetic Acid Methyl Ester Spectrabase | ![]() 2 Z 6 2e 4e 6s 7s 8r 9s 10e 7 9 Dimethoxy 3 6 8 Trimethyl 1 Oxo 11 Phenylundeca 2 4 10 Trienyl Amino 1 Oxohex 5 Enyl Amino Acetic Acid Methyl Ester Spectrabase | ![]() 2 Z 6 2e 4e 6s 7s 8r 9s 10e 7 9 Dimethoxy 3 6 8 Trimethyl 1 Oxo 11 Phenylundeca 2 4 10 Trienyl Amino 1 Oxohex 5 Enyl Amino Acetic Acid Methyl Ester Spectrabase |
2 Z 6 2e 4e 6s 7s 8r 9s 10e 7 9 Dimethoxy 3 6 8 Trimethyl 1 Oxo 11 Phenylundeca 2 4 10 Trienyl Amino 1 Oxohex 5 Enyl Amino Acetic Acid Methyl Ester Spectrabase | ![]() 2 Z 6 2e 4e 6s 7s 8r 9s 10e 7 9 Dimethoxy 3 6 8 Trimethyl 1 Oxo 11 Phenylundeca 2 4 10 Trienyl Amino 1 Oxohex 5 Enyl Amino Acetic Acid Methyl Ester Spectrabase | 2 Z 6 2e 4e 6s 7s 8r 9s 10e 7 9 Dimethoxy 3 6 8 Trimethyl 1 Oxo 11 Phenylundeca 2 4 10 Trienyl Amino 1 Oxohex 5 Enyl Amino Acetic Acid Methyl Ester Spectrabase |
![]() 2 Z 6 2e 4e 6s 7s 8r 9s 10e 7 9 Dimethoxy 3 6 8 Trimethyl 1 Oxo 11 Phenylundeca 2 4 10 Trienyl Amino 1 Oxohex 5 Enyl Amino Acetic Acid Methyl Ester Spectrabase | ![]() 2 Z 6 2e 4e 6s 7s 8r 9s 10e 7 9 Dimethoxy 3 6 8 Trimethyl 1 Oxo 11 Phenylundeca 2 4 10 Trienyl Amino 1 Oxohex 5 Enyl Amino Acetic Acid Methyl Ester Spectrabase | ![]() 2 Z 6 2e 4e 6s 7s 8r 9s 10e 7 9 Dimethoxy 3 6 8 Trimethyl 1 Oxo 11 Phenylundeca 2 4 10 Trienyl Amino 1 Oxohex 5 Enyl Amino Acetic Acid Methyl Ester Spectrabase |
![]() 2 Z 6 2e 4e 6s 7s 8r 9s 10e 7 9 Dimethoxy 3 6 8 Trimethyl 1 Oxo 11 Phenylundeca 2 4 10 Trienyl Amino 1 Oxohex 5 Enyl Amino Acetic Acid Methyl Ester Spectrabase | 2 Z 6 2e 4e 6s 7s 8r 9s 10e 7 9 Dimethoxy 3 6 8 Trimethyl 1 Oxo 11 Phenylundeca 2 4 10 Trienyl Amino 1 Oxohex 5 Enyl Amino Acetic Acid Methyl Ester Spectrabase | ![]() 2 Z 6 2e 4e 6s 7s 8r 9s 10e 7 9 Dimethoxy 3 6 8 Trimethyl 1 Oxo 11 Phenylundeca 2 4 10 Trienyl Amino 1 Oxohex 5 Enyl Amino Acetic Acid Methyl Ester Spectrabase |
2 Z 6 2e 4e 6s 7s 8r 9s 10e 7 9 Dimethoxy 3 6 8 Trimethyl 1 Oxo 11 Phenylundeca 2 4 10 Trienyl Amino 1 Oxohex 5 Enyl Amino Acetic Acid Methyl Ester Spectrabase | 2 Z 6 2e 4e 6s 7s 8r 9s 10e 7 9 Dimethoxy 3 6 8 Trimethyl 1 Oxo 11 Phenylundeca 2 4 10 Trienyl Amino 1 Oxohex 5 Enyl Amino Acetic Acid Methyl Ester Spectrabase | 2 Z 6 2e 4e 6s 7s 8r 9s 10e 7 9 Dimethoxy 3 6 8 Trimethyl 1 Oxo 11 Phenylundeca 2 4 10 Trienyl Amino 1 Oxohex 5 Enyl Amino Acetic Acid Methyl Ester Spectrabase |
![]() 2 Z 6 2e 4e 6s 7s 8r 9s 10e 7 9 Dimethoxy 3 6 8 Trimethyl 1 Oxo 11 Phenylundeca 2 4 10 Trienyl Amino 1 Oxohex 5 Enyl Amino Acetic Acid Methyl Ester Spectrabase | ![]() 2 Z 6 2e 4e 6s 7s 8r 9s 10e 7 9 Dimethoxy 3 6 8 Trimethyl 1 Oxo 11 Phenylundeca 2 4 10 Trienyl Amino 1 Oxohex 5 Enyl Amino Acetic Acid Methyl Ester Spectrabase | 2 Z 6 2e 4e 6s 7s 8r 9s 10e 7 9 Dimethoxy 3 6 8 Trimethyl 1 Oxo 11 Phenylundeca 2 4 10 Trienyl Amino 1 Oxohex 5 Enyl Amino Acetic Acid Methyl Ester Spectrabase |
2 Z 6 2e 4e 6s 7s 8r 9s 10e 7 9 Dimethoxy 3 6 8 Trimethyl 1 Oxo 11 Phenylundeca 2 4 10 Trienyl Amino 1 Oxohex 5 Enyl Amino Acetic Acid Methyl Ester Spectrabase | ![]() 2 Z 6 2e 4e 6s 7s 8r 9s 10e 7 9 Dimethoxy 3 6 8 Trimethyl 1 Oxo 11 Phenylundeca 2 4 10 Trienyl Amino 1 Oxohex 5 Enyl Amino Acetic Acid Methyl Ester Spectrabase | ![]() 2 Z 6 2e 4e 6s 7s 8r 9s 10e 7 9 Dimethoxy 3 6 8 Trimethyl 1 Oxo 11 Phenylundeca 2 4 10 Trienyl Amino 1 Oxohex 5 Enyl Amino Acetic Acid Methyl Ester Spectrabase |
2 Z 6 2e 4e 6s 7s 8r 9s 10e 7 9 Dimethoxy 3 6 8 Trimethyl 1 Oxo 11 Phenylundeca 2 4 10 Trienyl Amino 1 Oxohex 5 Enyl Amino Acetic Acid Methyl Ester Spectrabase |
Web5 9⁄16" 5 3⁄4" 5 15⁄16" 6 1⁄8" BEST SMALL SHOES FOR MEN Extra Narrow / Narrow BEST WIDE SHOES FOR MEN Slim Narrow Medium Wide Extra Wide;WebSize 95 New Balance MX856WN 2E white leather made in USA See details Size 95 New Balance MX856WN 2E white leather made in USA Sold by madorena Size 95
Incoming Term: 4e+5=2e+9,


















































コメント
コメントを投稿